箱ひげ図を使ってちゃちゃっとデータを分解
ありますよー。今回は箱ひげ図を取り上げます。箱ひげ図って全然カッコよいネーミングじゃないですね。英語だとboxplot(ボックスプロット)といいます。雰囲気的にこっちで呼びましょう。
boxplot(sample3$純広告,main="純広告")
ボックスプロットを確認すると、データが存在している範囲が一目でわかります。第1四分位とか中央値とかは…前回やりましたね?(参考)。
ちなみに「箱の長さ×1.5+第3四分位」、「箱の長さ×1.5-第1四分位」を「ヒゲ」と呼びます。箱ひげ図の「ヒゲ」ですね(参考)。
という訳で、先ほど苦労して作成した曜日データを活用してボックスプロットを作成してみましょう。
par(mfrow=c(2,2))
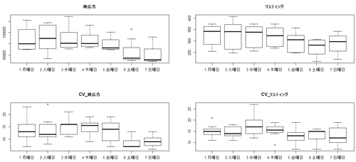
boxplot(sample3$純広告~sample3$youbi,main="純広告")
boxplot(sample3$リスティング~sample3$youbi,main="リスティング")
boxplot(sample3$CV_純広告~sample3$youbi,main="CV_純広告")
boxplot(sample3$CV_リスティング~sample3$youbi,main="CV_リスティング")
純広告のインプレッションとCVの中央値から見ていきましょう。
土曜日、日曜日は平日と比較して明らかに低いことが示されています。つまりこれは、第1回の折れ線グラフで書いていた時の底にあたる曜日であると考えられます。
また、上のヒゲと下のヒゲの幅はインプレッションでは火曜日が大きく、CVでは月曜日が大きいですね。
一方、リスティングはクリックの中央値はやや土曜日、日曜日は低い傾向にありますが、CVはそこまで差はないようです。
ちなみに昭和的なグラフをカラフルにするにはborder=やcol=の後で色を指定することでできます!
par(mfrow=c(2,2))
boxplot(sample3$純広告~sample3$youbi,main="純広告", border = "red",col=" magenta ")
boxplot(sample3$リスティング~sample3$youbi,main="リスティング",border=" darkgreen ",col= "lightyellow")
boxplot(sample3$CV_純広告~sample3$youbi,main="CV_純広告",border="blue",col=" pink ")
boxplot(sample3$CV_リスティング~sample3$youbi,main="CV_リスティング",border=" lightgreen",col="green")
さてさて、ここまでで曜日別のボックスプロットを確認することができました! さて、いよいよ最初にお話したデータの分解を行ってみましょう。
まずは、Rに対してデータの周期を認識してもらう必要があります。今回は日次データで週の周期性があるものですね。
ts_sample<-ts(sample3,frequency=7)
tsという関数の中でfrequency:周期性が7日であると設定します。
純広告のインプレッションについて分解を行いたいとすると、純広告はts_sampleの中で2列目ですので
decomp_純広告<-decompose(ts_sample[,2])
のように設定します(これまでも使っていたts_sample$純広告という指定方法はts関数を使った後はエラーになってしまうのでご注意下さい!)。
このdecompose関数を使うと、データを移動平均という手法を使って
- 一時的なノイズ
- 周期的な動き
- トレンド
に分解できます!
plot(decomp_純広告)
あまりにもアッサリできてしまいました。。。グラフの見方ですがobservedは元のデータ、つまりここでは純広告のインプレッションですね。
trendはトレンド、seasonalは周期的な動き、randomは一時的なノイズを表現しています。
つまりobserved=trend+seasonal+random となっているのです。
ボックスプロットで確認した曜日の周期的な動きについてはseasonalで表現されています。ちなみに、これらの結果を使用したい場合には下記のように設定することで活用できます!
trend<-decomp_純広告$trend
seasonal<-decomp_純広告$seasonal
random<-decomp_純広告$random
result<-cbind(trend,seasonal,random)
ここでは、resultにデータを纏めています。
このdecomposeの結果にあるトレンドを見ることで、周期的/一時的なノイズ以外でどのような動きになっているかをカンタンに確認することができます。マーケティング分野においても使い勝手がよいのではないでしょうか?
今回は、少し突っ込んだデータの加工と時系列分析の一部をご紹介いたしました! 次回もご期待下さいませ!
簡単! 2015年2月10日「3つ」覚えて分析から視覚化まで即実践!Rでできるデータ分析講座開催
Rをインストールしたが、無骨なUIに「今日はこのへんで……」と、そっと閉じてしまった方にオススメです!
本講座では実機を使って「できるだけわかりやすく」グラフ化&データ分析をワークショップ形式で簡単に身に付けることができます。
時系列分析でトレンドも分かる




