検索キーワードもベキ分布になる
実はこうしたベキ分布は、普通のWebサイトのアクセスログデータの解析でも簡単に見つけられます。例えば、検索エンジン経由の流入キーワード別のアクセス数を調べてみると、ほとんどのWebサイトでベキ分布の傾向を見ることができます。
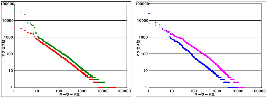
以下のグラフは4つの企業サイトの検索キーワード別のアクセス数を、先ほどのグラフ2と同様に両対数グラフで表したものです。縦軸はキーワードごとのアクセス数(の対数)、横軸はキーワード数(の対数)になります。上に行くほどキーワードによるアクセス数が多く、右に行くほど同じアクセス数のキーワードが数多くあるということになります。
4社ともそれぞれ多少のバラつきはあるものの、ほぼ直線を描いており、ベキ分布の傾向を示しているのがおわかりになると思います。もちろん、これを対数表示ではなく元の数値をそのまま使って表現すればグラフ1のようなロングテールの形をしたグラフになります。
では、4つの分布を個別に見ていきましょう。
まず左側のグラフの2つの比較では、グラフの左上の部分で赤いグラフは下に向かって、緑のグラフは上に向かって、それぞれベキ分布を示す直線から乖離しています。これをSEO的な視点で見た場合、赤い線で示されるWebサイトはヘッド(アクセス数が多い)の部分のキーワードが若干弱く、逆に緑の線で示されるサイトはヘッドが強いということになります。
実際には緑の線で表現されたサイトはリスティング広告を利用していることやWeb以外でのブランディングによる社名の認知度が高いためにグラフのような傾向を示していますが、逆の見方をすればこのヘッド部分の突出は、そうしたブランドの力をサイト全体で活かしきれていないことを示していると見ることができます。
一方で右側のグラフの2つを比べると、その傾きが違うのが見てとれます。先にも書いたとおり、両対数グラフでの直線の傾斜はゆるいほうがロングテールの傾向を示します。実際、2社を比較すると傾斜が急な青い線で示されるサイトが検索キーワードの上位20%で全体の9割近くを占めるのに対して、ピンクで示されるサイトは上位20%で全体の8割弱の数値となっています。ピンクのほうはよく見ると右下のあたりで若干下に向かって曲線を描いていますので、よりきれいなベキ分布を描いていたとしたら80:20の比率ももうすこしロングテール気味になっていたのではないかと思います。
また、4つのグラフを比べると、緑と青のグラフはヘッド部分が高くなっていますが、テール部分がそれほど伸びていないために検索エンジン経由のサイト全体のアクセスは、赤やピンクと比較しても多くはありません。特にリスティング広告などを利用している場合は、効果がヘッド部分に偏ってしまうために、なおさらサイト全体への影響が限られます。こうしたデータからもWeb標準準拠によって検索エンジンに最適化を行うことでオーガニック・サーチ経由のアクセス数を高めることが大事なのがわかります。

